2025年高能新闻
您当前的位置:首页 > 新闻动态 > 高能新闻 > 要闻 > 2025年高能新闻
理论家提出利用天体中微子探测中微子自相互作用的新区域
文章来源:理论室  2025-12-08
】 【】 【

近日,快盈v3理论物理室许勋杰副研究员与合作者在中微子理论研究中取得重要进展。研究团队首次提出了一种有趣的效应(共振吸收峰的相对论性拓宽),可用于探测中微子自相互作用的新区域,成果于10月28日发表于《物理评论快报》(Phys. Rev. Lett. 135, 181002)。

中微子自相互作用被认为是解决宇宙的哈勃常数危机的关键方案之一。目前,在已有的各类实验限制下,较强的中微子自相互作用必须依赖非常轻且弱耦合的媒介粒子。这一参数区间难以被传统的粒子物理实验验证。而该项研究指出,下一代大型中微子探测器,如江门中微子观测站(JUNO)、超级神冈(Hyper-Kamiokande)、深层地下中微子实验(DUNE)对超新星弥散中微子(DSNB)的观测有望验证这一参数区间。该研究考虑了一个过去被忽略但可能显著提升灵敏度的效应,即DSNB 传播过程中出现的共振吸收峰可能被宇宙中微子背景中的相对论性组分显著拓宽。该效应考虑三个中微子的质量本征态中,最轻中微子的质量小于宇宙中微子背景的温度, 从而导致宇宙中微子背景包含相对论性的组分,这一假设不仅完全符合所有实验数据,而且可以更好地吻合最近 DESI的宇宙学观测数据。

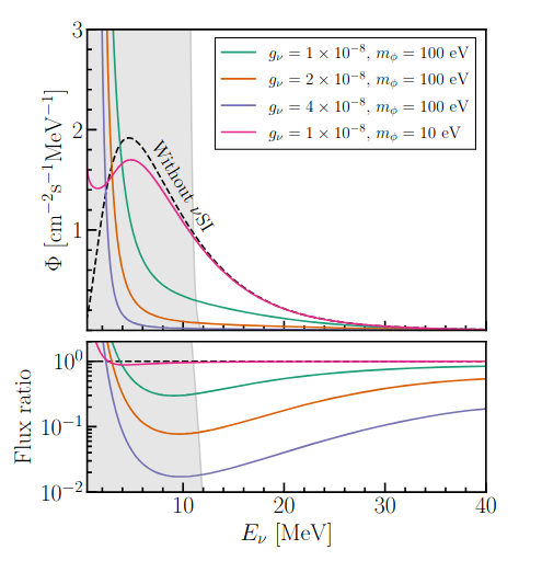
利用这一共振吸收峰拓宽效应,该研究展示了如何在未来DSNB的观测数据中验证中微子自相互作用 (见图1),获得的灵敏度超越现有约束数个量级 (见图2)。这些发现开辟了新的探索方向,并为中微子背后隐藏的新物理提供了关键见解。

本项研究由费米国家实验室博士后Issac R. Wang、芝加哥大学博士后周贝和许勋杰合作完成,论文作者按字母排序。该研究获得国家自然科学基金和中国科学院基础研究青年团队项目的资助。

成果链接: https://journals.aps.org/prl/abstract/10.1103/9ddp-j1z9

图1:中微子自相互作用对 DSNB 能谱的影响。上图:中微子通量。黑色虚线曲线表示自由传播的DSNB通量;彩色实线表示受中微子自相互作用影响的DSNB通量。下图: 中微子通量比值。灰色阴影区域表示来自反应堆中微子的背景。

图2: 中微子自相互作用在低质量区域的参数空间。未来中微子探测器对 DSNB 的观测可使当前已知的限制(彩色区域)大幅提升若干个数量级(黑线)。




附件下载:

地址:北京市918信箱 邮编:100049 电话:86-10-88235008 Email:ihep@ihep.ac.cn
快盈v3 备案序号:京ICP备05002790号-1 文保网安备案号: 110402500050