近日,快盈v3理论物理室李英英副研究员与合作者在粒子物理研究中取得重要进展。研究团队首次提出,类似IceCube的中微子望远镜不仅可用于探测高能天体事件,还可用于捕捉超新星爆发过程中产生的质量在Sub-MeV至GeV范围内的潜在新物理信号。相关成果于6月4日发表在《物理评论快报》(Phys. Rev. Lett. 134, 221002)。
本研究聚焦于超新星爆发过程中中微子信号的精细时间结构,探索其中隐藏的超出标准模型的新物理信号。在超新星内部产生的新物理粒子在传播至地球的过程中可能衰变为中微子(见图1),从而使部分中微子信号相较于标准模型预测出现提前或延迟。这些具有特征性时间分布的中微子信号为检验各类新物理模型提供了可能。
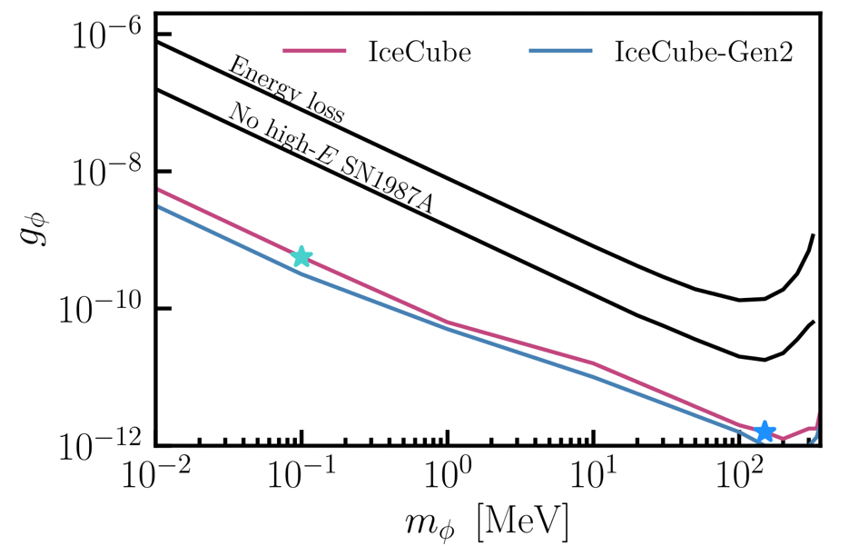
中微子望远镜通过高精度测量超新星中微子的时间轮廓,在短至约0.01秒的时间分辨率下展现出前所未有的新物理探测能力。研究结果显示,处于标准模型时间窗口之外的中微子信号,无论是提前到达还是延迟出现,都能够被当前及未来的探测技术有效识别,进而显著扩大我们对新物理的探索范围(见图2)。
为推动该方向的进一步研究,团队已公开发布本研究使用的分析代码,支持科研人员评估超新星模型不确定性对新物理探测灵敏度的影响。这项工作不仅拓宽了中微子望远镜在基础物理研究中的应用边界,也为探索Sub-MeV至GeV能区的新物理提供了新的实验方向。
本项研究由哈佛大学的Carlos Argüelles、俄克拉荷马州立大学的Vedran Brdar、比利时鲁汶大学的Jeffery Lazar和中科院高能所的李英英合作完成,论文作者按字母排序。该研究获得国家自然科学基金和中科院高能所引进人才项目的资助。
成果链接:https://doi.org/10.1103/PhysRevLett.134.221002

图1: 新物理粒子衰变产生的中微子信号相较于标准模型预测具有时间延迟效应。

图2:IceCube中微子望远镜可探测的新物理参数空间(以Majoron模型为例)。
附件下载:
