超导腔是加速器的“发动机”,在建和未来的大型加速器装置如对撞机、同步辐射光源、自由电子激光、中子源等无一例外地采用超导腔来加速电子、质子、重离子等各种带电粒子,因而,高品质因数(Q)和高加速梯度(Eacc)的超导腔成为了全世界加速器领域的研究热点,也是环形正负电子对撞机(CEPC)预研的加速器关键技术之一。
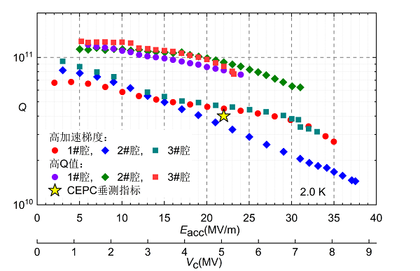
在中科院高能所射频超导与低温研究中心的部署下,负责CEPC 650MHz超导腔研制任务的沙鹏等人经过多年的不懈努力,CEPC 650 MHz高性能超导腔在国内首次成功实现了大尺寸(频率小于1GHz)超导腔的中温退火、电化学抛光等多项关键技术,从2021年底至今,已在多只650 MHz single-cell超导腔样机上获得成功,取得了优异的垂直测试结果(@ 2.0 K):经过高加速梯度工艺处理后,3只650 MHz single-cell超导腔的加速梯度均超过了30 MV/m,最高达到了37.5 MV/m;而经过高Q值工艺处理后,在22 MV/m的加速梯度下,3只超导腔的Q值均超过了8×10^10,比CEPC的垂测指标(4×10^10)高出了一倍以上。
以上测试结果创造了国内大尺寸超导腔品质因数和加速梯度的最高记录,在国际上也与美国费米实验室的650 MHz single-cell超导腔并驾齐驱,达到了国际领先水平。
本项研究得到了先进光源研发与测试平台(PAPS)、国家重点研发计划、国家自然科学基金委、王贻芳科学家工作室和高能所创新项目的资助和支持。

650 MHz single-cell超导腔垂直测试结果

650 MHz single-cell超导腔的中温退火

650 MHz single-cell超导腔的电化学抛光
附件下载:
