赤泥吸附镉反应机制研究进展
镉(Cd)镉是土壤环境中广泛存在的一种剧毒重金属元素,镉在土壤中移动性很强,但同时易于被土壤胶体吸附而在土壤中积累。我国农田土壤镉污染形势非常严峻,但是除了由污染造源成的严重点源污染外,我国土壤镉污染主要以中低度的面源污染为主。选择经济、高效的原位修复技术,既是环境污染修复的迫切需要,也是适合我国农业可持续发展的中、轻度污染土壤修复的最佳选择。赤泥是炼铝工业的副产品,一种强碱性的废弃物而很难无害化处理利用,但是其在重金属钝化应用方面有很好的前景。中国农业科学院农业资源与农业区划研究所马义兵课题组通过研究表明,赤泥对镉具有很强的吸附亲和力。利用同步辐射中能X射线技术结合XRD及SEM等分析手段,对镉在赤泥上的吸附反应机制进行了深入探讨。通过该研究,有望开发出对镉经济高效的原位土壤钝化修复剂,并为赤泥的综合开发利用提供理论依据和技术支持。相关研究成果发表在2010年3月的《Environmental Pollution》上。
该课题组一直从事重金属污染土壤的修复工作,并提出开发、利用化学钝化剂作为生态修复中低度污染土壤的有效措施,从而达到重金属污染农田土壤上农产品安全生产的目的。但是该技术的一个关键点就是,钝化重金属的反应机制是什么?这直接关系后污染土壤修复后重金属的生物有效性和修复效果的可持续性。镉在环境样品中含量很低,由于环境基质复杂和分析技术手段限制,镉在钝化剂上的反应机制并不清楚,并限制其在污染土壤修复中的应用。研究组通过批次吸附试验、连续分级提取技术,以及同步辐射X射线近边结构谱学技术对镉在钝化剂赤泥上的吸附行为、反应机制进行了深入探讨。
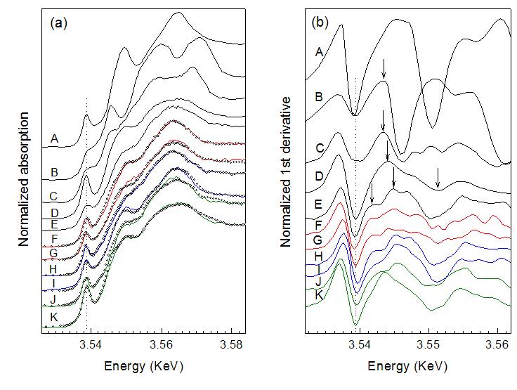
同步辐射实验是在北京同步辐射装置-4B7A中能实验站完成的。分析了赤泥不同处理(纳米粉碎(RMnano)、酸化处理(RMa)、未处理(RMo)等)对吸附镉反应产物近边吸收结构谱(XANES)的影响,通过主成分(PCA)分析和线性拟合(LCF)分析对镉在赤泥上的吸附反应机制和可能的吸附产物进行了探讨。通过实验证据,明确提出:赤泥可以通过基团交换反应与镉形成了稳定的内层络合物XCd(OH)(X代表赤泥中铁铝氧化物的表面基团),显著降低了可提取态镉含量。
该研究初步为镉在赤泥中的吸附反应机制提供了光谱学依据,为赤泥在污染土壤修复中的推广应用提供了科学依据,同时可为应用同步辐射XANES技术研究复杂环境样品反应机制提供借鉴。但是,由于受环境样品镉低含量限制以及中能谱学分析分辨率限制,并没有得到镉在赤泥上吸附产物的精细结构。更亮的束线能量及更新测样环境(充氦气)将有助于中能X射线谱学技术在环境样品形态分析中的应用。

赤泥吸附镉样品及标准参考化合物 Cd L3-边XANES谱:(a)相应的一阶求导谱图(b)及其线性拟合结果(a图圆点虚线)。吸附样品及参考样品:A, CdCO3; B, CdO; C, Cd(OH)2; D, Cd(NO3)2; E, Cd(OH)Cl; F, RMnano+1.0 mmol/L Cd; G, RMnano+6.0 mmol/L Cd; H, RMa+1.0 mmol/L Cd; I, RMa+6.0 mmol/L Cd; J, RMo+1.0 mmol/L Cd; K, RMo+6.0 mmol/L Cd。
发表文章:
Lei Luo, Chenyan Ma, Yibing Ma*, Shuzhen Zhang, Jitao Lv, Mingqi Cui,New insights into the sorption mechanism of cadmium on red mud. Environmental Pollution, Environmental Pollution2011, 159, 1108-1113.